Why corruption can enhance social welfare
In
Log in if you are already registered
Corruption is commonly perceived as a threat to social welfare, but it is not always true. In many situations, as I am going to show, corrupted behavior of individuals can allow for more efficient resource allocations than the law-abiding strategy. To see this, I model typical interactions between public officials and citizens in the game form, where players are assumed to maximize their pay-offs against the other player’s choices. Game theory appears to be a natural and simple way to account for the seemingly complex phenomenon in question, as it requires quite little knowledge to produce predictions about real outcomes.
WHY DOES CORRUPTION OCCUR?
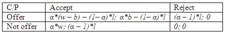
Before examining why corruption does not always yield the worst social outcomes, it is essential to see why corruption occurs, in the first place. First, define a game with two players, the citizen © and the public official (P) who simultaneously choose from (1) to offer/ accept a bribe and (2) not to offer/ reject a bribe, correspondingly. The pay-offs of the players when playing strategy (2), i.e. abiding by the law, are 0, a reference point for status-quo. When both decide to engage in corruption, they can either increase their welfare if not caught by the police (with probability α), or get punished with probability (1- α). When the citizen offers a bribe and the official rejects the offer, the former can be punished with prob. (1- α). Finally, in a strange outcome when P serves C in an altruistic way, i.e. without being rewarded, C gets benefits from the service whereas P bears costs of being caught and has no profits.
Denote gains from the successful offer as w and the bribe size as b. Lastly, by denoting losses from being punished as l, we obtain:

Since 0 ≤ α < 1 and l > 0, (α – 1)*l is smaller than zero. Therefore, C can always do better by not offering a bribe irrespective of P’s choice. By eliminating strictly dominated strategies, we obtain the unique Nash equilibrium (NE) {not offer, reject}. This result holds despite the fact that for some values of the parameters to accept could be the best response for P when a positive offer is made. But ‘offer’ is never played by C, and P’s response has no influence on the outcome of the game.
So, as we have seen, the normal form game predicts obedience by both players and thereby fails to explain why we witness so much corruption in the government. The reason for this failure is the unrealistic setting in which the players are assumed to choose their strategy under uncertainty, i.e. without knowing what the other player chooses. For instance, P should decide whether to accept or to reject a bribe without knowing how much is actually offered. Instead, it would be more reasonable to model the situation as an extensive form game with perfect information, in which C makes the first move and P takes the informed decision.
First, redefine the strategy sets. While P still can choose from Sp = {accept; reject}, C is able to choose a bribe size within interval Sc = [0, ∞). As we’re interested in subgame perfect NE, let us run backward induction and see what’s the best response of P to possible offers by C. Remember that rejection always yields 0 whereas acceptance leads to pay-off of α*b – (1– α)*l. Consequently, P should accept any bribe, whose probabilistically weighted value is greater than the risks of punishment,
- α*b – (1– α)*l ≥ 0 ⇔ b ≥ ((1– α)/ α)*l
In short, P’s best response is to reject an offer if and only if 0 ≤ sc ≤ ((1- α)/ α)*l and to accept otherwise. When C anticipates this behavior, what offer is optimal? If the bribe offered is positive and below ((1– α)/ α)*l and is therefore rejected, P’s payoff is strictly negative and equals (α – 1)*l. If it exceeds ((1– α)/ α)*l, P gets α*(w – b) – (1– α)*l. Differentiating the latter formula with respect to w yields –α, so the bribe should be made as small as possible. Thus, if bribing the official can make any sense at all, its amount should be given by
- b = ((1- α)/ α)*l
So, depending on values of the parameters, it could be welfare-maximizing for C either to choose sc = 0, or to go with sc = ((1- α)/ α)*l. For the corruption outcome to realize, its benefits should be at least as large as those from offering nothing,
- α*(w – b) – (1- α)*l ≥ 0 ⇔ w ≥ b + ((1- α)/ α)*l
Substituting (2) into (3) yields
- w ≥ 2l*((1- α)/ α)
And we’re done. For sufficiently high gains from corruption and sufficiently low punishment and risks thereof such that (4) holds, offering and accepting a bribe as defined in (2) is on the equilibrium path. If (4) does not hold, C offers nothing and P does not cooperate which is consistent with the prediction from the normal form game. All in all, the sequential moves setting has proved more realistic as it directly tells us under which condition we should anticipate which of the equilibriums.
WHEN IS CORRUPTION WELFARE-ENHANCING?
What is crucial for my argument is the fact that C is weakly better-off from engaging in corruption than from abiding by the law, and P is equally well-off, so when the strict inequality holds in (4), {sc = 0; sp = reject} resulting in {0; 0} is not only unstable, but also Pareto inefficient. (Remember that a state of affairs is Pareto efficient if and only if the payoff of one person cannot be improved without decreasing that of the other). Does it mean that it is better for society when P and C play the ‘corruption’ scenario? Not at all, because so far I have only considered utilities of the individuals directly involved in the game and ignored spillover effects of corruption.
Rather obviously, a vast share of instances with corrupted behavior has clear negative spillovers on others. For instance, a police officer who is bribed by a drunk driver to set him free puts others at considerable risks to their health, whereas abiding by the law would reduce those risks. But it is not the point in question of this text. The question is whether there are any cases when corruption plays for the benefit of both directly and indirectly involved parties. Formally, utility of all society members should not deteriorate when the corruption scenario realizes, with somebody experiencing strict welfare improvement,
- uic ≥ ui and ujc > uj, for all i and at least one j in N, where u is utility and N = C, P, 3, …, n is society
Another reasonable requirement says that the corruption outcome should actually be played, so it has to be the unique subgame perfect NE. It implies, as noted above, the inequality in (4) to hold in the strict form,
- w > 2l*((1- α)/ α)
If (6) is true, then C is already the one whose welfare is strictly better-off, and we only require that corruption yield non-negative spillover effects. Is it too much to demand? Rather not. Consider corruption associated with the issuance of documents such as passports. The government imposes standard conditions that hold for everyone, but one can bribe the responsible official to get their passport within a shorter period of time or without submitting all the required documents. In this case, both parties benefit from the deal and others do not experience lower pay-offs because their passports are not issued longer or of worse ‘quality’ (whatever it could mean here). Consequently, this is one of possibly many situations where corruption satisfies (5) and (6) and thus Pareto dominates the law-abiding outcome.
WHY CAN CORRUPTION ENHANCE WELFARE?
Let me remind you of a simple fact that corruption is a failure of government intervention. When this intervention is implemented to curb negative or positive spillovers and thus under- or over-provision of goods, corruption is bound to undermine social welfare because the government no longer ‘blocks’ externalities or free-riding. As a result, the society returns to the state of affairs which is both unfair (due to corruption) and inefficient (due to market failure). However, when government interference is justified by considerations of fairness rather than efficiency (e.g. issuance of passports, as in the example above), corrupted behavior leads to allegedly unfair, but more efficient outcomes.
Vaguely put, corruption switches areas of the economy occupied by the government to the market logic in a sense that individuals follow their self-interest, but this logic gets perverted in many ways. This begs the conclusion that corruption is merely the second best choice in both types of situations I described. When the government intervenes to fight market failures, the social optimum is the law-abiding behavior, but corruption, if not enormous, is still preferable to the markets (corrupted police or courts are most often better than no police and courts). And when the government intervenes to ensure fairness by sacrificing efficiency, corrupted behavior can help restore some part of market efficiency, but never the whole of it, which makes it second-best, once again.
P. S. One can easily extend the results of this game to many areas of human interaction, including international relations: UNSC permanent members bribing developing countries by providing foreign aid in exchange of votes in the council could be one example (see “How Much Is a Seat on the Security Council Worth?” by Kuziemko and Werker, 2006).
